91热爆 研究生学业奖学金评定实施细则(试行)
为适应新形势下研究生学业奖学金评定政策改革,鼓励研究生全面发展,根据《研究生学业奖学金管理暂行办法》(财教〔2013〕219号)《91热爆 研究生教育收费和奖助学金管理办法(试行)》(山科大研字〔2014〕15号)文件精神,制定91热爆 研究生学业奖学金评定实施细则。
一、评定范围
研究生学业奖学金用于奖励我院纳入全国研究生招生计划的全日制研究生(定向、委培除外),奖励支持表现良好的研究生更好的完成学业。获得奖励的研究生须具有中华人民共和国国籍。自2014年开始研究生教育收费以来的录取类别为非定向的全日制在读硕士研究生(无固定工资收入,且档案及工资关系均已转入我校,不含延期毕业的硕士生)。且完成所有教学任务,评选学年内无考试不及格课程。
二、评选条件
(一)研究生申请学业奖学金基本条件
1.热爱社会主义祖国,拥护中国共产党的领导;
2.遵守国家法律法规和学校规章制度;
3.刻苦学习,诚实守信,品学兼优;
4.积极参与科学研究和社会实践;
5.评选学年内无考试不及格课程;
6.已按规定足额缴纳学年内学杂费;
7.符合所在91热爆相关实施细则中规定的其他条件。
(二)研究生出现以下任一情况,不得参评本年度学业奖学金。
1.受司法机关处罚或学年内受到校院通报批评或纪律处分;
2.未完成培养计划规定的学习任务;
3.中期筛选不合格;
4.有抄袭剽窃、弄虚作假等学术不端行为。
三、评选要求
1. 根据研究生德、智等方面现实表现,评选采用各项累计计分制;分别从学业成绩、科技创新、社会活动以及学生工作和思想品德四个部分计分,按照总分数从高到低进行排序。
2. 根据工作量大小、科研成果等级等设定各个加分项目分数。按照科学论著、科研成果、创新发明、学术活动(竞赛)和工程实践等五个方面制定加分指标。其中,学术活动(竞赛)B类及以下类型活动每学年只允许提供至多2项加分成果。
3. 论文、学科竞赛、专利只计入前三位。论文导师第一位(仅限第一导师)、研究生第二位,视为第一位;唯一通讯作者等同为第一位。合作的各类奖励、论文根据位次乘以系数分别为1、0.4、0.1。学校为第二完成单位的乘系数0.4。同一篇论文,同一系数的奖励计算只能用一次。
4. 因学科专业差异,为促进评审公平性,科技创新成果均需与学科及本专业相关,方能计入加分项;如存在争议,由“奖学金评审委员会”聘请专家进行界定,特别是发表在中科院分区4区开源期刊的SCI检索论文。
5. 考虑评审细则计分方法,预防出现极端情况,特设科技创新单项奖。研究生取得与学科及本专业相关成果满足如下条件可直接获评一等奖学金:(1)参选学生取得突出的重要科研成果;(2)科技创新积分第一名的参选学生分值高出第二名分值2倍以上;(3)若有参选学生满足条件“(1)”或条件“(2)”获评一等奖学金,则“一、计算方法”中“所属学科参选学生科技创新最高积分”取科技创新积分第二名参选学生分值参与计算。
6. 各类评分细则(附后),参考学校相关评选和奖励办法,综合91热爆特色制定。如遇特殊或细则中未提及的情况,由91热爆评审委员会研究确定。
7. 符合评定条件的研究生本人提出申请,填写申报相关表格材料;评审材料需经导师审核,审核通过后导师需在评审材料上书写“提供材料已通过导师审核,材料真实,同意申请”并签名。一旦上交材料,申请人及导师必须对材料真实性负责,若有弄虚作假行为,取消评审资格,情节严重的取消研究生期间一切奖励的评比,并给与相应纪律处分。
8. 符合条件的人员材料在91热爆网站进行公示,无异议后,上报学校。
9. 研究生申报国家和学业奖学金的材料仅可使用一次,成功申请国家奖学金的材料不可再用于申请学业奖学金。
10. 评选所有材料截止时间参照评审时间和研究生91热爆相关规定执行。
四、评选程序
1.根据学校研究生学业奖学金评定条件,上报学业奖学金申请表;
2.91热爆奖学金评审委员会、91热爆党政联席会审核上报资料,审核综合素质得分情况;
3.根据综合素质排名得分,从高到低对应获得;
4.91热爆网站公示3个工作日;
5.上报校研究生院。
五、91热爆奖学金评审委员会
主任:高尚宇、王清标
副主任:程家国、王辉
委员:秦广鹏、李楠、于小鸽、洒艳、刘家友、战玉宝、张培鹏、张丽、张晨晰
六、说明
本细则由91热爆 研究生学业奖学金评审委员会负责解释。
91热爆
2021年10月15日
91热爆
硕士研究生学业奖学金评定计算办法与标准
一、计算方法
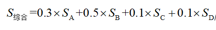
硕士研究生评选实行积分制,包括两大类:智育成绩、德育成绩。具体细则如图所示:
类别 |
智育成绩 |
德育成绩 |
综合成绩 |
||
小项 |
学业成绩 |
科技创新成绩 |
社会活动成绩 |
学生工作和思想品德 |
|
小项编号 |
SA |
SB |
SC |
SD |
S综合 |
成绩计算方案:

(GPA 表示学业成绩绩点,g为该课程成绩,c为该课程所占学分)

(gkeji 表示科技创新积分,gmax1 表示所属学科参选学生科技创新最高积分)

(gshehuo 表示社会活动积分,gmax2 表示所属学科参选学生社会活动最高积分)

(gxuegong表示社会工作和思想品德积 ,gmax3表示所属学科参选学生社会工作和思想品德最高积分)

学业成绩包括:学位课、硕士论文盲评评阅成绩(硕士论文评阅成绩所占学分暂定为1)。
二、评选指标量化体系
优秀研究生评选实行积分制,由(1)学业成绩(2)科技创新(3)社会活动(4)学生工作和思想品德四个部分组成,具体评分方法和标准如下:
(一)学业成绩计分标准
2.1.1 本学年学业成绩绩点
学位课、实践环节成绩以教务系统为准(教务系统未显示成绩的课程不做考虑),硕士论文评阅成绩以最终评阅成绩为准。
2.1.2 绩点计算公式

g为该课程成绩,c 为该课程所占学分,GPA为绩点。绩点即所有学业成绩乘以所占学分除以总学分。
注:若学业成绩中是按照优秀、良好、中、及格、不及格进行等级打分的科目,可以进行折算打分:优秀 95,良好 85,中 75,及格65。
(二)科技创新评分标准
2.2.1 科学论著计分标准
项目 |
计分(分/篇) |
说明 |
|
Nature、Science等及其子刊 |
300 |
1.论文有效性:研究生为第一作者;导师为第一作者,研究生为第二作者,视为第一作者;唯一通讯作者等同为第一位;计算加分相同;同一篇论文,同一系数的奖励计算只能用一次。 2.同一论文被不同刊物收录(转载),以最高级别刊物加分,不累加。 3.刊物级别认定须由图书馆出具检索证明原件证实。 4.SCI、EI 期刊论文见刊按照100%的标准计分;ONLINE按照70%加分,见刊后再加30%。 5.中文核心期刊及以上的论文录用通知书和国家发明专利授权通知可作为评奖依据,但须提交导师担保和系所主任审核证明,按照70%加分,见刊(或授权)后再加30%。 6. 中文核心期刊为最新版《北大中文核心期刊目录》中的期刊。 7.SCI 期刊论文分区参考论文发表当年的中科院分区基础版。 8.著作类奖励前五位,分别乘以系数1,0.5,0.4,0.3,0.2。 9. 科技核心期刊、一般学术刊物发表的学术论文应不少于2个版面,且允许提供总数不多于2篇;论文投稿过程应有证明材料(例如:投稿系统截图或者投稿EMAIL等),且期刊应为中国知网、维普等网络收录期刊。 |
|
SCI、SCIE |
150(一区) 100(二区) 75(三区) 50(四区) |
||
SSCI |
50 |
||
CSSCI、EI 期刊 |
30 |
||
人民日报、光明日报理论版刊登的学术论文 |
25 |
||
中文核心期刊发表的学术论文 |
18 |
||
科技核心期刊发表的学术论文 |
9 |
||
一般学术刊物发表的学术论文 |
4 |
||
出版学术专著 |
著 |
50 |
|
编著 |
40 |
||
编 |
30 |
||
2.2.2. 科研成果获奖计分标准
成果 |
子类 |
加分分值 |
备注 |
说明 |
科研奖励 |
国家级 |
600 |
学会、协会奖在相应政府奖基础上乘系数0.6;一、二、三等奖分别乘以系数:1、0.6、0.3,特等奖按一等奖计算 |
合作类成果分摊比例为
n为作者位次,加分不限位次 |
省部级 |
300 |
|||
厅局级 |
150 |
|||
科研项目 |
国家级 |
100 |
仅限纵向课题,项目位次以科研处证明为准,国家级大学生创新创业训练计划项目按省级界定。 |
①按位次,分别乘以系数1/n。 ②一般项目,仅限第一位加分。 |
省级 |
50 |
|||
其他 |
10 |
一般项目 |
||
研究生科研立项(校级) |
一等 |
7+8 |
91热爆 研究生创新基金项目,91热爆 研究生专利立项基金项目(视为校级项目)等成果,针对成功立项和成功结题两个环节采用分阶段加分机制。 |
科研项目需学生独立申请立项 |
二等 |
6+6 |
|||
三等 |
4+4 |
2.2.3 创新发明计分标准
成果 |
子类 |
加分分值 |
备注 |
说明 |
专利 |
A类 |
50 |
发明专利 |
①导师第一学生第二与学生第一认定为同等分值; ②需与专业学科相关,且已授权; ③按位次,分别乘以系数1/n。 ④软件著作权、实用新型专利允许提供分别不多于2项。 |
B类 |
9 |
软件著作权,实用新型专利 |
||
标准、规范 |
A类 |
50 |
国家 |
按位次,分别乘以系数1/n。 |
B类 |
20 |
省部级 |
||
C类 |
5 |
企业等 |
2.2.4 学术活动(竞赛)获奖计分标准
A类仅指“创青春”大学生课外学术科技作品竞赛、“挑战杯”大学生创业设计竞赛、中国“互联网+”大学生创新创业大赛,B类指专门面向研究生举办的比赛,或学科专业领域内面向从业人员的高水平竞赛,C类指其他面向大学生开展的各类竞赛。
成果 |
子类 |
加分分值 |
备注 |
说明 |
A类 |
国家级 |
100 |
特等奖、一、二、三等奖分别乘以系数:1、0.8、0.5、0.3;如无特等奖,则一、二、三等奖、优秀奖分别乘以系数:1、0.6、0.3、0.1 |
①根据校团字〔2018〕3号文件《关于公布学生科技创新竞赛、学科专业竞赛类别等级认定结果的通知》的竞赛等级认定结果。名单上没有的比赛不加分;2、校团委等学校部门举办、市区级政府、教育局、科技局、共青团举办的各项学科类比赛视为C类校级比赛;3、如排名不分先后,则按照人数均分相应等级分值,负责人单独列出且成员排名不分先后的情况,负责人系数为1,其余可计入加分成员系数为0.6/n,n为成员数量。 ②对于A类竞赛,全部成员可计入加分。对于B类及以下竞赛,排名前3位成员可计入加分。 |
省级 |
50 |
|||
校级 |
10 |
|||
B类 |
国家级 |
40 |
仅限学校、91热爆职能部门统一认定的学科类竞赛;特等奖、一、二、三等奖、优秀奖分别乘以系数:1、0.8、0.5、0.3、0.1;如无特等奖,则一、二、三等奖、优秀奖分别乘以系数:1、0.6、0.3,0.1 |
|
省级 |
20 |
|||
校级 |
8 |
|||
C类 |
国家级 |
20 |
||
省级 |
10 |
|||
校级 |
5 |
(三) 社会活动和工程实践计分标准
2.3.1社会活动计分标准
类别 |
名次 |
获奖等级 |
先进集体 |
社会活动 |
体育活动 |
备注 |
||||
主要干部 |
其他干部 |
学生 |
创新创业 |
文化艺术 |
社会实践 |
|||||
国家级 |
1-2 |
一 |
18 |
15 |
13 |
30 |
30 |
30 |
30 |
1.项目须有相关文件、证书原件或部门证明证实。未设奖励名次的奖项按同级别的最高等级计分。 2.同一“先进集体”或社会活动获不同等级奖,计最高分,不累加。“先进集体”奖励中,主要班干部包括班长、团支部书记。“先进集体”项、社会活动项得分上限均不得超过20分。 3.文化艺术指社会调查(实践)报告、意见报告、散文、诗歌、通讯报道、绘画、摄影及其他艺术类作品等,本项计分实行代表制,总数不超过3篇。 4.参加研究生院、校团委组织的社会实践、挂职锻炼且受到表彰者获得相应加分:“三助一辅”工作暂不加分。 5.主讲学校或91热爆组织的学术论坛、讲座等活动每次加5分,上限15分;参加学术讲坛人员加分,以91热爆认定为准,每次0.5分,上限5分。 6.创新创业等特殊活动针对成功审批和成功结题两个环节采用特殊的加分机制。 7.在院级社会活动中获奖的同学按校级获奖得分的一半加分。 8.积极参与校级各项社会活动,报名并参与其中(仅报名不算)未获名次的学生,每项加0.7分,但累积不得超过10分。 9.积极参加91热爆级别的各项社会活动(不包括班级内部组织的活动),报名并参与其中(仅报名不算)未获名次的学生,每项活动加0.5分,但累积不得超过10分。 10.社会活动加分奖励流程按照以下流程进行:同学自愿申报班级内公示->班委核分->公示,公示无异议,计算加入综合成绩。 11.参加本专业国际学术会议并作报告加15分,参加本专业全国学术会议并作报告加10分,参加本专业一般性学术会议并作报告加5分,主讲人需出具会议通知、官方报告安排,主讲内容为本人科研成果。 |
3-4 |
二 |
17 |
14 |
12 |
20 |
20 |
20 |
20 |
||
5-8 |
三 |
16 |
13 |
11 |
15 |
15 |
10 |
10 |
||
省部级 |
1-2 |
一 |
15 |
12 |
10 |
20 |
20 |
10 |
12 |
|
3-4 |
二 |
14 |
11 |
9 |
15 |
15 |
8 |
10 |
||
5-8 |
三 |
13 |
10 |
8 |
10 |
10 |
5 |
8 |
||
校级 |
1-2 |
一 |
8 |
4 |
2 |
3+5 |
6 |
4 |
8 |
|
3-4 |
二 |
8 |
4 |
2 |
3+5 |
3 |
2 |
6 |
||
5-8 |
三 |
8 |
4 |
2 |
3+5 |
2 |
1 |
5 |
||
2.3.2 工程实践计分标准
参加本专业密切相关的工程实践或工程锻炼活动,需承担或负责具体工作,并获得到锻炼单位和指导教师的认可,并提交工程实践报告(内容应包含从事的具体工作及相应证明等)。
参加工程实践前需向91热爆报备;出具车票等证明材料原件;需出具有法人资格单位出具的书面证明,并提供可验证的单位信息;其真实性需由导师严格把关并签字证明。
连续实践活动累计0.5个月(15天)加1分,最高加分不超过20分。
同学自愿申报->班级内公示->班委核分->公示,公示无异议,计算加入综合成绩。
原则上硕士研究生一年级学生没有此项加分。
原则上,2.3.1中“第8和9条”与“2.3.2”合并加分不超过20分。
(四)学生工作和思想品德计分标准
2.4.1 学生干部计分标准
职务 |
分数 |
备注 |
担任校级、院级研究生会主席,校聘兼职辅导员,91热爆党员教育管理365工程党员自律工作小组组长 |
15 |
1.同时兼任多项职务的,在第一职务的基础上,依次乘以比例系数1/n且n≤2。 2.因解职、辞职、免职使任职时间不足届的学生干部不予加分,增补、升任的干部按任职时间在2/3以上的职务计分。 |
党支部书记,班长,团支部书记,校、院究生会副主席,研究生自律会主任、研究生新闻宣传中心主任、91热爆党员教育管理365工程党员自律工作小组副组长 |
10 |
|
校、院研究生会部长,研究生自律会副主任、研究生新闻宣传中心副主任、研究生协会、社团会长 |
8 |
|
校、院研究生会副部长,研究生自律会部长、研究生新闻宣传中心部长、研究生协会、社团副会长,党(团)支部委员,研究生报主编、副主编 |
6 |
|
班委、研究生会、研究生自律会、研究生新闻宣传中心干事,助管、宿舍长、“初心讲堂”讲师团成员、新生助理辅导员等其他有效开展学生工作职务 |
3 |
2.4.2 思想品德计分标准
获奖类别 |
计分 |
说明 |
国家级 |
40 |
1. 受表彰者须出示表彰文件或证书证明。 2. 同一事迹受不同级别表彰者,以最高分计,不累加。 3. 见义勇为、助人为乐需提供依据证实。 4. 所获校级个人荣誉称号均在加分范围。 |
省部级 |
15 |
|
校市级 |
8 |


